通知公告

通知公告

您的当前位置: 首页 > 通知公告 > 正文

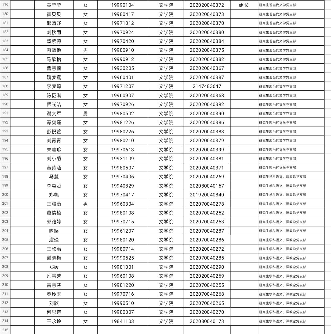
文学院第69期入党积极分子名单公示

发布人:日期:2020-10-05 21:22浏览数:


上一条:关于举行第五届湖南省大学生写作竞赛初赛暨湖南师范大学2020年大学生写作竞赛的通知

下一条:湖南师范大学党校第34期预备党员培训班学员名单公示

【关闭】